Geheimfavorit??
| eröffnet am: | 15.03.07 19:53 von: | KR2103 |
| neuester Beitrag: | 25.04.21 00:10 von: | Monikammjva |
| Anzahl Beiträge: | 240 | |
| Leser gesamt: | 127046 | |
| davon Heute: | 23 | |
bewertet mit 5 Sternen |
||
|
|
||
12.10.17 12:19
#176
19MajorTom68
Wann kommen die Zahlen?
Ich wollte jetzt schon mit meinem Window Dressing beginnen. Evtl. sollte ich die Zahlen abwarten....Da wird ja nichts Positives erwartet?
12.10.17 14:31
#177
Katjuscha
Das Problem ist
Es wird zwar nichts sonderlich positives erwartet, was für die Aktie sprechen könnte. Aber andererseits muss auch zwingend was positives kommen, denn wenn sich der Turnaround nicht mindestens stark andeutet, ist die Aktie nicht unbedingt günstig, und es könnte dann zudem in den letzten 5-6 Wochen des Jahres zu steuerlich bedingten Verlustrealisierungen und window dressing kommen. Das ist jedenfalls meine Befürchtung, wenn die Q3 Zahlen nicht überzeugen. Daher kann ich mir 2,0 € noch gut vorstellen.
Wobei immer schwer zu sagen ist, was der Markt konkret von den Q3 Zahlen erwartet.
Wobei immer schwer zu sagen ist, was der Markt konkret von den Q3 Zahlen erwartet.
12.10.17 14:45
#178
spea
Investor calender
http://www.operasoftware.com/company/investors/event
Financial calendar:
...
Results 3Q 2017 23 November, 2017
Oslo Stock Exchange Announcements:
http://www.operasoftware.com/company/investors/ose
Financial calendar:
...
Results 3Q 2017 23 November, 2017
Oslo Stock Exchange Announcements:
http://www.operasoftware.com/company/investors/ose
01.11.17 13:21
#179
spea
Ferd AS verkauft 686.000 Aktien
Ferd AS hat heute (31.10.2017 16:30) 686.000 Aktien von Opera Software ASA verkauft.
Danach hält die Ferd AS 7.303.440 Aktien der Gesellschaft, was 4,9 Prozent der ausstehenden Aktien entspricht.
http://www.newsweb.no/newsweb/...=searchtype.pdf&messageId=437611
https://www.reuters.com/article/...es-in-opera-software-idUSFWN1N60YA
Danach hält die Ferd AS 7.303.440 Aktien der Gesellschaft, was 4,9 Prozent der ausstehenden Aktien entspricht.
http://www.newsweb.no/newsweb/...=searchtype.pdf&messageId=437611
https://www.reuters.com/article/...es-in-opera-software-idUSFWN1N60YA
03.11.17 16:25
#180
19MajorTom68
So, ich habe mein
persönliches Window-Dressing bei Opera abgeschlossen.
Alle Anteile verkauft und minimal billiger wieder eingekauft. Das Spiel dauerte geschlagene drei Wochen bei den kleinen Umsätzen.
Die Verkäufe verursachten natürlich einen Verlust und die dazugehörige Steuererstattung habe ich - im Gegensatz zu meinen üblichen Gewohnheiten - nicht sofort in Opera investiert. Das mache ich bei einem weiteren eventuellen Rücksetzer auf 2,10 bis 2,20.
Und nun gehöre ich zu den Wenigen, die beim Kurs von 2,45 mit im Plus sind :-) *bätsch*
Alle Anteile verkauft und minimal billiger wieder eingekauft. Das Spiel dauerte geschlagene drei Wochen bei den kleinen Umsätzen.
Die Verkäufe verursachten natürlich einen Verlust und die dazugehörige Steuererstattung habe ich - im Gegensatz zu meinen üblichen Gewohnheiten - nicht sofort in Opera investiert. Das mache ich bei einem weiteren eventuellen Rücksetzer auf 2,10 bis 2,20.
Und nun gehöre ich zu den Wenigen, die beim Kurs von 2,45 mit im Plus sind :-) *bätsch*
06.11.17 17:39
#181
11fred11
opera verkauft
surf easy
http://www.newsweb.no/newsweb/search.do?messageId=438013
http://www.newsweb.no/newsweb/search.do?messageId=438013
06.11.17 18:14
#182
11fred11
wenn ich es richtig lese
bekommen sie 38,5 Mio Dollar
85 % jetzt - die anderen 15 % werden treuhänderisch für 15 Monate verwaltet
85 % jetzt - die anderen 15 % werden treuhänderisch für 15 Monate verwaltet
06.11.17 18:19
#183
Mitsch
SurfEasy
Bewertet wird SurfEasy also mit einem EV von 38,5 Mio.
Vor dem Hintergrund eines Umsatzes von 4,6 Mio in 2016 und 5 bis 6 Mio in 2017 ist das doch ein guter Preis, den man erzielt hat. Hatte mich heute schon gewundert, warum die Aktie 3% im Plus ist. Sowas hat man bei Opera schon lange nicht mehr erlebt ;-)
Vor dem Hintergrund eines Umsatzes von 4,6 Mio in 2016 und 5 bis 6 Mio in 2017 ist das doch ein guter Preis, den man erzielt hat. Hatte mich heute schon gewundert, warum die Aktie 3% im Plus ist. Sowas hat man bei Opera schon lange nicht mehr erlebt ;-)
06.11.17 19:48
#184
Scansoft
Ja krasser
Tag:-). Die erste Gegenreaktion seit der Gewinnwarnung. Wahrscheinlich dürften sie jetzt weitere 10% zurückkaufen, wäre wohl aktuell am sinnvollsten.
07.11.17 01:13
#185
Romanova
Surfeasy
Hatte bisher Surfeasy+Skyfire zusammen ungefähr für diesen Wert angesetzt, bin daher mit der Transaktion absolut zufrieden. Jeder weitere Euro in einem ARP sollte massiv wertschaffend sein.
12.11.17 15:25
#186
PoorStandard
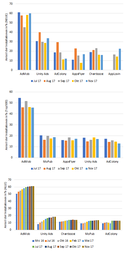
Kurze Auswertung zu AdColony
Da meine letzte Auswertung nun 3 Monate her ist und manche nachgefragt haben. Anbei drei Grafiken, welche die Verbreitung von AdColony als eingesetzte Werbebibliothek bei den neuen, beliebtesten und gesamten Apps im Google Play Store aufzeigt.
Bei den neuen und beliebtesten Apps geht der Marktanteil von AdColony wieder zurück, während bei den gesamten Apps dieser (nach der jüngsten Erholung) in etwa konstant bleibt.
Quellen zur Auswertung:
[1] https://www.appbrain.com/stats/libraries/ad
[2] https://www.appbrain.com/stats/libraries/ad?list=new
[3] https://www.appbrain.com/stats/libraries/ad?list=top500
16.11.17 21:18
#189
spea
@Katjuscha: Q3 Zahlen
http://www.ariva.de/forum/geheimfavorit-285496?page=7#jumppos178
16.11.17 21:31
#190
spea
HegnarOnline Debattforum: Ticker OPERA
Google Übersetzer ist dein Freund
https://translate.google.de/
http://forum.hegnar.no/...er=OPERA&expandNode=2417299#ExpandedRow
"
Geändert: 16.11.17 21:19
RE ^ 1: Mach Opera Grait wieder :-)
Opera verkaufte Opera TV, und danach florierte die TV-Abteilung :)
Von Roger Kristiansen (https://www.taktiskinside.com + https://blogg.nordnet.no/author/taktiskinside/), seine Analyse von 60 Small Cap bei OBX am 13/11
"OPERA: Eine Grafik, die fundamentale Themen signalisiert und in die Investoren nichts investieren können. Eindeutiger Rückgang und wie wir es in alten Zeiten" Mark Crawls "genannt haben. Niedrige Dynamik unterstützt den Mangel an fundamentalen Signalen. - Bleib einfach draußen. Schwach! "
"
https://translate.google.de/
http://forum.hegnar.no/...er=OPERA&expandNode=2417299#ExpandedRow
"
Geändert: 16.11.17 21:19
RE ^ 1: Mach Opera Grait wieder :-)
Opera verkaufte Opera TV, und danach florierte die TV-Abteilung :)
Von Roger Kristiansen (https://www.taktiskinside.com + https://blogg.nordnet.no/author/taktiskinside/), seine Analyse von 60 Small Cap bei OBX am 13/11
"OPERA: Eine Grafik, die fundamentale Themen signalisiert und in die Investoren nichts investieren können. Eindeutiger Rückgang und wie wir es in alten Zeiten" Mark Crawls "genannt haben. Niedrige Dynamik unterstützt den Mangel an fundamentalen Signalen. - Bleib einfach draußen. Schwach! "
"
16.11.17 22:42
#191
Katjuscha
der Lnk war mir bekannt, spea, aber wie gesagt
Hat vorhin nicht funktioniert auf die Homepage zu kommen. Serverproblem!
Die Übersetzung hat was witziges. :)
Die Übersetzung hat was witziges. :)
23.11.17 07:53
#193
Bergdoc
Hat jemand
eine erste Einschätzung, wo die Reise kursmässig hingehen wird??
23.11.17 08:42
#195
11fred11
frage
ist, ist Adcolony ein Sanierungsfall ist und die Chefetage hat es uns anders verkauft oder gibt es da noch einen Turnaround.
Umsäzte und Ebita zeigen i M noch keine Wende an, auch wenn es nicht weiter runter geht.
Umsäzte und Ebita zeigen i M noch keine Wende an, auch wenn es nicht weiter runter geht.
23.11.17 08:53
#196
Obelisk
Bemobi top
Ad Colony flop. Die jüngste Meldung, dass noch mehr Personal bei ad colony entlassen wird, ließ befürchten, dass die Zahlen nicht gut werden. Habe mich deshalb im Vorfeld schon entsprechend positioniert. Werde jetzt entspannt die weitere Entwicklung abwarten.
23.11.17 14:41
#197
Katjuscha
mal nen Langfristchart
Meint ihr, die Aktie könnte sogar bis 1,3 € fallen?
1,9-2,0 € erwarte ich aus technisch und psychologischer Sicht auf jeden Fall in den nächsten Wochen. Im Dezember werden vermutlich viele Anleger ihre Aktien wegen Steuern oder window dressing noch aus dem Depot schmeißen.
1,9-2,0 € erwarte ich aus technisch und psychologischer Sicht auf jeden Fall in den nächsten Wochen. Im Dezember werden vermutlich viele Anleger ihre Aktien wegen Steuern oder window dressing noch aus dem Depot schmeißen.
23.11.17 14:45
#198
Scansoft
Also 1,3 EUR wäre
hinsichtlich Bilanz und Bemobi m.E. Quatsch. Aber wenn AdConoly weiter chronisch Verluste schreibt und weiter Marktanteile verliert durchaus möglich, Halte ich aber eher für unwahrscheinlich.
23.11.17 21:20
#199
spea
Nur Führungswechsel könnte jetzt noch helfen
sonst wird es zu spät um neu anzufangen.
23.11.17 22:46
#200
Scansoft
Bei AdColony haben
sie ja größtenteils das Management gewechselt. Finde auch, dass man jetzt durchaus radikale Maßnahmen ergreift, was schon einmal positiv ist. Ob sie tatsächlich den Turnaround schaffen muss man dann im nächsten Jahr sehen.


